Quarterly Environmental Monitoring and Audit Summary Report (April 2020 – June 2020)
for
Contract No. ED/2018/01 –
Kai Tak Development – Stage 4 infrastructure at the former runway and south apron
Contract No.: EDO 15/2018
(Version 1.1)

Breaches of Action and Limit Levels
Notifications of Summons and Successful Prosecutions
Major construction works in the reporting period
1. INTRODUCTION
Works Area and Construction Programme
Construction works undertaken during reporting period
2. SUMMARY OF EM&A REQUIREMENTS AND MONITORING RESULTS
Air Quality Monitoring Locations
Air Quality Monitoring Parameters, Frequency and Duration
Air Quality Monitoring Equipment
Air Quality Monitoring Methodology and QA/QC Procedure
Impact Air Quality Action and Limit Levels
Impact Air Quality Monitoring results
Noise Monitoring Parameters, Frequency and Duration
Monitoring Methodology and QA/QC Procedure
Impact Noise Action and Limit Levels
Impact Noise Monitoring results
Comparison of EM&A Results with EIA Predictions
3. LANDSCAPE AND VISUAL MONITORING
4. SOLID AND LIQUID WASTE MANAGEMENT
5. ENVIRONMENTAL SITE INSPECTION AND AUDIT
Implementation Status of Environmental Mitigation Measures
6. SUMMARY OF NON-COMPLIANCE STATUS
Breaches of Action and Limit Levels
Environmental Complaint and Non-compliance
Notifications of summons and successful prosecutions
7. COMMENTS, RECOMMENDATIONS AND CONCLUSIONS
List of Tables
Table I Major construction activities in the reporting period
Table 1.1 Contact information of key personnel
Table 1.2 Major construction activities in the reporting period
Table 2.1 Locations of air quality monitoring stations
Table 2.2 Air quality monitoring parameters, frequency and duration
Table 2.3 Air Quality Monitoring Equipment
Table 2.4 Action and Limit Levels of 24-hour average TSP for construction dust monitoring
Table 2.5 Action and Limit Levels of 1-hour average TSP for construction dust monitoring
Table 2.6 Summary of 24-hour average TSP monitoring data during the reporting period
Table 2.7 Summary of 1-hour average TSP monitoring data during the reporting period
Table 2.8 Locations of noise monitoring stations
Table 2.9 Noise monitoring parameters, frequency and duration
Table 2.10 Noise Monitoring Equipment
Table 2.11 Baseline noise level and Action and Limit Levels for construction noise monitoring
Table 2.12 Summary of noise monitoring data during the reporting period
Table 2.13 Comparison of 24-hour average TSP monitoring data with EIA predictions
Table 2.14 Comparison of 1-hour average TSP monitoring data with EIA predictions
Table 2.15 Comparison of noise monitoring data with EIA predictions
Table 5.1 Summary of site inspections observations during the reporting period
Table 6.1 Non-compliance record in the reporting period
Table 6.2 Summary of complaints in the reporting period
Table 6.3 Summary of summons and successful prosecutions in the reporting period
Table 7.1 Summary of recommendations / reminders made in site inspections during the reporting period
List of Figure
Figure 1 – Proposed works of Contract No. ED/2018/01
Figure 2 – Proposed Bus Stop And Associated Noise Barrier At Road D3A
Figure 3 – Future Pedestrian Connection Between Landscaped Deck And Private Developments
Figure 5 – Air Quality Monitoring Stations
Figure 6 – Noise Monitoring Stations
List of Appendices
Appendix B – Construction Programme
Appendix C – Weather information
Appendix E – Event and Action Plans for Construction Dust Monitoring, Construction Noise and Landscape and Visual Impact
Appendix F – Waste Flow Table
Appendix G – Environmental Mitigation Implementation Schedule (EMIS)
Appendix H – Summaries of Environmental Complaint, Warning, Summon and Notification of Successful Prosecution
1. This is the 2nd Quarterly Environmental Monitoring & Audit (EM&A) Summary Report which summaries the findings of the EM&A Programme during the reporting period from 1 April 2020 to 30 June 2020 (the “reporting period”).
2. 1-hour TSP monitoring was conducted as scheduled in the reporting period. No Action/Limit Level exceedance was recorded.
3. 24-hour TSP monitoring was conducted as scheduled in the reporting period. No Action/Limit Level exceedance was recorded.
4. Construction noise monitoring was conducted as scheduled in the reporting period. No Action/Limit Level exceedance was recorded.
5. No complaint was received in the reporting period.
6. No notification of summons and successful prosecutions was received in the reporting period.
7. There was no reporting change in the reporting period.
8. Major construction activities undertake during the reporting period included:
|
April 2020 |
May 2020 |
June 2020 |
|
- Ground investigation works - Sheet pile Installation at South Depressed Road - Pump Test in North Depressed Road Cofferdam - Bored Pile Construction for Bridge D3 - ELS Installation & Excavation for North Depressed Road & North Approach Ramp |
- North Approach Ramp – Erection and dismantle of timber formwork and concreting of base slab, columns and walls - Bridge D3 – Construction of bored piles (install casings, removal soil, fix and install steel cages, concreting, ground investigation) - North Depressed Road – Excavation, fabrication and installation of steel members for ELS, pumping test - South Depressed Road - Fabrication and installation of steel members for ELS, pumping test - Noise Barriers – Breaking protection layer of the existing footings to expose the buried couplers, ground investigation (ADH6) - Lift LT1 & LT2 – ground investigation (DH17 & DH18), trial pit for locating underground utilities |
- Installation of Sheet Pile for Construction of Underpass and Noise Barrier - Pumping Test at North Depressed Road Cofferdam and South Depressed Road - Construction of Bored Pile of Bridge D3 - ELS Installation & Excavation for North Depressed Road and South Depressed Road - Construction of base slab, walls and columns for North Approach Ramp - Permanent Structure Construction for North Depressed Road |
1.1 The Kai Tak Development (KTD) is located in the south-eastern part of Kowloon Peninsula of the HKSAR, comprising the apron and runway areas of the former Kai Tak Airport and existing waterfront areas at To Kwa Wan, Ma Tau Kok, Kowloon Bay, Kwun Tong and Cha Kwo Ling.
1.2 Contract No. ED/2018/01 - Kai Tak Development – stage 4 infrastructure at the former runway and south apron (The Project), comprises mainly the design and construction of a dual two- lane Road D3 (Metro Park Section), a single 2-lane Road L12d, a salt water pumping station, a sewage pumping station, landscaped deck and promenade above and adjoining Road D3 (Metro Park Section) respectively, some remaining road works at Road L14, noise barrier at Road D3A, and other associated works at the former runway and south apron. The proposed works are shown in Figure 1 and Figure 2. During the course of the Contract No. ED/2018/01, there may be modification of noise barriers in association with the construction of footbridges connecting to the landscaped deck of Road D3A by developers of adjacent lands (Figure 3). The proposed works and site boundary are shown in Figure 4.
1.3 Civil Engineering and Development Department (CEDD) had completed an Environmental Impact Assessment (EIA) and is the Permit Holder.
1.4 The construction work under ED/2018/01 comprises the EM&A Manuals (EIA Register Nos. AEIAR-130/2009 for Kai Tak Development and EIA Register Nos. AEIAR-170/2013 for Roads D3A and D4A) and Environmental Permit (EP) Nos. EP-337/2009, EP-445/2013 and Variation to the EP (VEP) No. EP-445/2013/A.
1.5 Air quality and noise monitoring has been proposed in the EM&A Manual with EIA Register Nos. AEIAR-130/2009 for Kai Tak Development while no air quality and noise monitoring are proposed in EM&A Manual with EIA Register Nos. AEIAR-170/2013 for Roads D3A and D4A.
1.6 The project organization chart and emergency team and with respect to the EM&A programme is shown in Appendix A. Information of key personnel contact names and telephone numbers are summarized in Table 1.1.
|
Party |
Role |
Contact Person |
Position |
Phone No. |
Fax No. |
|
Civil Engineering and Development Department (CEDD) |
Project Proponent |
Mr. Ronald Siu |
Senior Engineer |
3579 2452 |
2739 0076 |
|
Mr. Edwin Chan |
Engineer |
3579 2458 |
2739 0076 |
||
|
AECOM Asia Co. Ltd. (AECOM) |
Supervisor (act as Engineers’ Representative (ER) listed in EM&A Manual) |
Mr. Clive Cheng |
CRE |
3911 4201 |
3911 4288 |
|
Ramboll Hong Kong Limited (Ramboll) |
Independent Environmental Checker (IEC) |
Mr. Ray Yan |
IEC (Before 23 May 2020) |
3465 2836 |
3465 2899 |
|
Mr. Manson Yeung |
IEC (After 23 May 2020) |
9700 6767 |
3465 2899 |
||
|
Ka Shing Management Consultant Limited (Ka Shing) |
Environmental Team (ET) |
Mr. Chan Pang |
ET Leader |
6082 2973 |
2120 7752 |
|
Penta-Ocean Construction Co., Ltd. (Penta-Ocean) |
Contractor |
Ms. Juliet Ting |
Environmental Officer |
9555 8820 |
2572 4080 |
1.7 The construction works commenced on 20 January 2020.The construction programme of the Project is given in Appendix B.
1.8 Major construction works of the Project in the reporting period are summarized in Table 1.2:
|
April 2020 |
May 2020 |
June 2020 |
|
- Ground investigation works - Sheet pile Installation at South Depressed Road - Pump Test in North Depressed Road Cofferdam - Bored Pile Construction for Bridge D3 - ELS Installation & Excavation for North Depressed Road & North Approach Ramp |
- North Approach Ramp – Erection and dismantle of timber formwork and concreting of base slab, columns and walls - Bridge D3 – Construction of bored piles (install casings, removal soil, fix and install steel cages, concreting, ground investigation) - North Depressed Road – Excavation, fabrication and installation of steel members for ELS, pumping test - South Depressed Road - Fabrication and installation of steel members for ELS, pumping test - Noise Barriers – Breaking protection layer of the existing footings to expose the buried couplers, ground investigation (ADH6) - Lift LT1 & LT2 – ground investigation (DH17 & DH18), trial pit for locating underground utilities |
- Installation of Sheet Pile for Construction of Underpass and Noise Barrier - Pumping Test at North Depressed Road Cofferdam and South Depressed Road - Construction of Bored Pile of Bridge D3 - ELS Installation & Excavation for North Depressed Road and South Depressed Road - Construction of base slab, walls and columns for North Approach Ramp - Permanent Structure Construction for North Depressed Road |
2.1 In accordance with EM&A Manuals (EIA Register Nos. AEIAR-130/2009), impact air quality monitoring and impact noise monitoring shall be carried out during the construction phase of the Project.
2.2 Three designated monitoring stations were selected for air quality monitoring programme. Impact air quality monitoring was conducted at three air quality monitoring stations in the reporting period. Table 2.1 describes the air quality monitoring locations, which are also depicted in Figure 5.
|
Air Quality Monitoring Locations for the Project |
Location of Measurement |
|
AM3 - Sky Tower |
Podium floor near T7 |
|
AM4(A) - The Hong Kong Society for the Blind’s Factory cum Sheltered Workshop |
Rooftop |
|
AM7 – Hong Kong Children’s Hospital |
Rooftop |
2.3 The air quality monitoring locations and monitoring frequency are listed in Table 2.2.
|
Air Monitoring Station |
Location for Measurement |
Parameter |
Duration |
Frequency |
|
AM3 - Sky Tower |
Podium floor near T7 |
- 24-hour average TSP
- 1-hour average TSP |
- 24 hours
- 1 hour |
- Once every 6 days
- Three times every 6 days |
|
AM4(A) - The Hong Kong Society for the Blind’s Factory cum Sheltered Workshop |
Rooftop |
|||
|
AM7 - Hong Kong Children’s Hospital |
Rooftop |
2.4 24-hour average TSP and 1-hour average TSP levels were measured for impact monitoring. 24-hour average TSP levels were measured by the High Volume Samplers (HVS) and 1-hour average TSP levels were measured by direct reading method to indicate short-term impacts. Wind data monitoring equipment was set up at conspicuous locations for logging wind speed and wind direction near to the dust monitoring locations. Table 2.3 summarizes the equipment to be used in the air quality monitoring.
|
Equipment |
Model |
Quantity |
|
HVS Sampler |
TE-5170 X c/w of TSP sampling inlet |
3 |
|
Calibrator |
TISCH TE-5025A |
1 |
|
1-hour TSP Dust Meter |
TSI Model AM510 SidePak Personal Aerosol Monitor |
2 |
|
Wind Anemometer |
Davis Vantage Pro2 Weather Station |
1 |
2.5 High volume samplers (HVS) (TE-5170 X c/w of TSP sampling inlet) comprising with appropriate sampling inlets were employed for 24-hour TSP monitoring. The sampler was composed of a motor, a filter holder, a flow controller and a sampling inlet and its performance specification complied with that required by USEPA Standard Title 40, Code of Federation Regulations Chapter 1 (Part 50).
24-hour TSP Monitoring
Operating/Analytical Procedures
2.6 Setup criteria of HVS are shown as follows:
2.7 Prior to the commencement of the dust sampling, the flow rate of the HVS was properly set (between 1.1 m3/min. and 1.7 m3/min.) in accordance with the manufacturer's instruction to within the range recommended in USEPA Standard Title 40, CFR Part 50.
2.8 For TSP sampling, Glass Fiber Filter Media 8" x 10" have a collection efficiency of > 99 % for particles of 0.3 μm diameter were used.
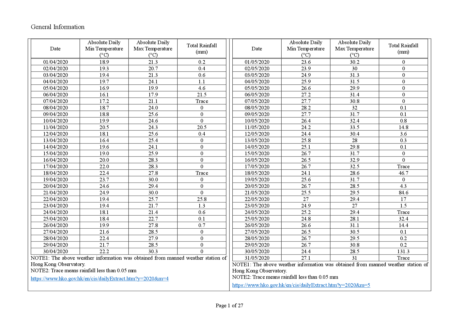
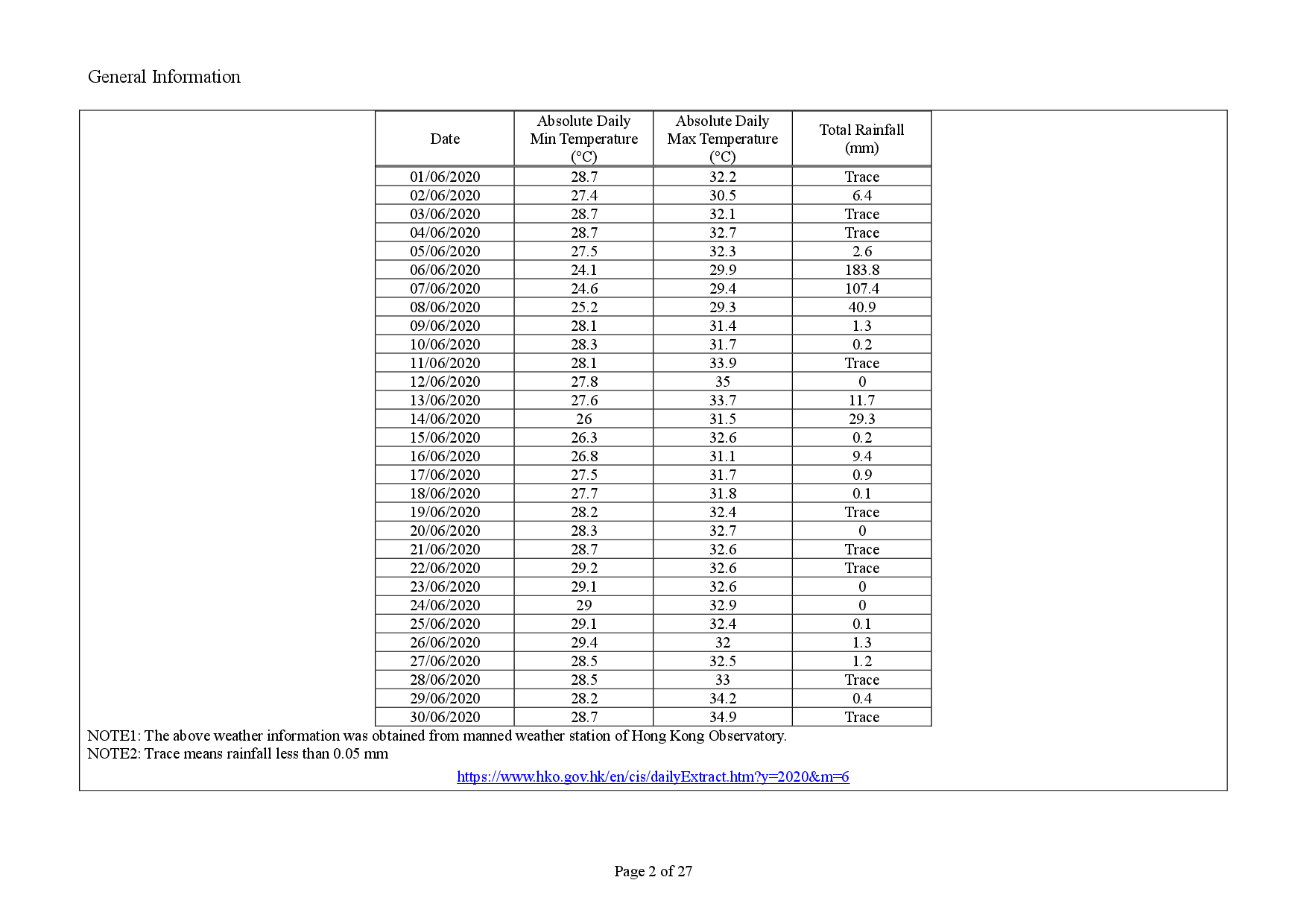
2.9 The power supply was checked to ensure the sampler worked properly. On sampling, the sampler was operated for 5 minutes to establish thermal equilibrium before placing any filter media at the designated air monitoring station.
2.10 The filter holding frame was removed by loosening the four nuts and a weighted and conditioned filter was carefully centered with the stamped number upwards, on a supporting screen.
2.11 The filter was aligned on the screen so that the gasket formed an airtight seal on the outer edges of the filter. Then the filter holding frame was tightened to the filter holder with swing bolts. The applied pressure was sufficient to avoid air leakage at the edges.
2.12 The shelter lid was closed and secured with the aluminium strip.
2.13 The timer was programmed. Information was recorded on the record sheet, which included the starting time, the weather condition and the filter number (the initial weight of the filter paper can be found out by using the filter number).
2.14 After sampling, the filter was removed from the HVS and put into a clean and labeled seal plastic bag to avoid cross contamination. The elapsed time was also be recorded. The sampled filters were sent to the Castco Testing Centre Limited for weighting.
2.15 Before weighing, all filters were equilibrated in a conditioning environment for 24 hours. The conditioning environment temperature was between 25°C and 30°C and not vary by more than ±3°C; the relative humidity (RH) was less than 50% and not vary by more than ±5%. A convenient working RH is 40%.
Maintenance/Calibration
2.16 The following maintenance/calibration are required for the HVS:
1-hour TSP Monitoring
Measurement Procedures
2.17 The measurement procedures of the 1-hour TSP were conducted in accordance with the Manufacturer’s Instruction Manual as follows:
Maintenance/Calibration
2.18 The following maintenance/calibration are required for the direct dust meters:
To validity the accuracy of dust meter, compare the results measured by dust meter and HVS by direct reading method every 12 months throughout all stages of the air quality monitoring.
2.19 Wind Anemometer was installed at the roof-top of AM7 - Hong Kong Children’s Hospital with 10m above ground and clear of constructions or turbulence caused by the buildings to record wind speed and wind direction.
2.20 Details of weather information during the monitoring period are shown in Appendix C.
2.21 The Action and Limit Levels of 24-hour average TSP and 1-hour average TSP are summarized in Table 2.4 and Table 2.5 respectively.
|
Parameter |
Air Monitoring Station |
Action Level, mg/m3 |
Limit Level, mg/m3 |
|
24-hour average TSP |
AM3 |
182 |
260 |
|
AM4(A) |
187 |
260 |
|
|
AM7 |
181 |
260 |
|
Parameter |
Air Monitoring Station |
Action Level, mg/m3 |
Limit Level, mg/m3 |
|
1-hour average TSP |
AM3 |
297 |
500 |
|
AM4(A) |
326 |
500 |
|
|
AM7 |
315 |
500 |
2.22 Impact monitoring results for 24-hour average TSP and 1-hour average TSP levels at the designed air quality monitoring stations are summarized in Table 2.6 and Table 2.7 respectively.
|
Air Monitoring Station |
April 2020 |
May 2020 |
June 2020 |
Action Level, mg/m3 |
Limit Level, mg/m3 |
|||
|
24-hr Average TSP Concentration, mg/m3 |
Range, mg/m3 |
24-hr Average TSP Concentration, mg/m3 |
Range, mg/m3 |
24-hr Average TSP Concentration, mg/m3 |
Range, mg/m3 |
|||
|
AM3 |
65 |
33 – 111 |
36 |
26-49 |
38 |
21-57 |
182 |
260 |
|
AM4(A) |
73 |
40 – 106 |
42 |
34-53 |
34 |
27-45 |
187 |
260 |
|
AM7 |
66 |
34 - 106 |
31 |
27-40 |
38 |
29-45 |
181 |
260 |
|
Air Monitoring Station |
April 2020 |
May 2020 |
June 2020 |
Action Level, mg/m3 |
Limit Level, mg/m3 |
|||
|
1-hr Average TSP Concentration, mg/m3 |
Range, mg/m3 |
1-hr Average TSP Concentration, mg/m3 |
Range, mg/m3 |
1-hr Average TSP Concentration, mg/m3 |
Range, mg/m3 |
|||
|
AM3 |
51 |
31-72 |
42 |
28-55 |
39 |
22-57 |
297 |
500 |
|
AM4(A) |
54 |
33-79 |
46 |
24-58 |
40 |
24-60 |
326 |
500 |
|
AM7 |
62 |
43-125 |
43 |
28-73 |
40 |
24-52 |
315 |
500 |
2.23 There was no Action and Limit Level exceedance of 24-hour average TSP and 1-hour average TSP levels recorded during the reporting period.
2.24 Graphical presentation and detailed monitoring results of 24-hour average TSP and 1-hour average TSP levels are shown in Appendix D.
2.25 The Event and Action Plan is provided in Appendix E.
2.26 Non-project related construction activities in the adjacent construction sites were observed during the reporting period and may affect the monitoring results.
2.27 Two designated monitoring stations were selected for noise monitoring programme. Impact noise monitoring was conducted at two noise monitoring stations in the reporting period. Table 2.8 describes the noise monitoring locations, which are also depicted in Figure 6.
|
Noise Monitoring Locations for the Project |
Location of Measurement |
|
M11 - The Hong Kong Society for the Blind’s Factory cum Sheltered Workshop |
Rooftop (Façade) |
|
M12 - Hong Kong Children’s Hospital |
Rooftop (Façade) |
2.28 The noise monitoring locations and monitoring frequency are listed in Table 2.9.
|
Noise Monitoring Station |
Location for Measurement |
Parameter |
Frequency and Duration |
|
M11 - The Hong Kong Society for the Blind’s Factory cum Sheltered Workshop |
Rooftop (Façade) |
LAeq, LA10 and LA90 |
30 - minutes measurement at each monitoring station between 0700 – 1900 hrs on normal weekdays (Monday to Saturday) at frequency of once per week. |
|
M12 - Hong Kong Children’s Hospital |
Rooftop (Façade) |
2.29 As referred to in the Technical Memorandum (TM) issued under the Noise Control Ordinance (NCO), sound level meters in compliance with the IEC 61672-1 (Type 1) standard [this standard replaced the International Electrotechnical Commission Publications 60651:1979 (Type 1) and 60804:1985 (Type 1)] were used for noise monitoring. Table 2.10 summarizes the equipment to be used in the noise monitoring.
|
Equipment |
Model |
Quantity |
|
Sound Level Meter |
RION NL52 |
2 |
|
Sound Level Calibrator |
RION NC 74 |
2 |
|
Air Flowmeter |
TSI TA440 Air Velocity |
1 |
2.30 The noise level measurement was conducted at 1m from the exterior of the nearby noise sensitive receivers building façade and at 1.2m above the ground and facing to the source area or the planned measurement area.
2.31 No noise measurement was conducted in the presence of fog, rain, wind with a steady speed exceeding 5 m/s or wind with gusts exceeding 10 m/s. Air flow was measured by air flow meter.
2.32 Turned on the sound level meter and check the battery, if too low, change new ones.
2.33 Calibration was conducted immediately prior to and after each noise measurement, the accuracy of the sound level meters was checked by using sound calibrator generating 1,000 Hz with 94dB. Measurement data was found to be valid only if the calibration levels from before and after the noise measurement agreed to within 1.0 dB.
2.34 Noise level was recorded.
2.35 Recorded any activities that may generate noise during measurement period.
2.36 The microphone head of the sound level meter and calibrator was cleaned with a soft cloth at quarterly intervals.
2.37 The sound level meter and sound calibrator were calibrated annually.
2.38 Calibration for sound level meter was conducted immediately prior to and following each noise measurement by using sound calibrator generating a known sound pressure level at a known frequency (1,000 Hz with 94dB). Measurements may be accepted as valid only if the calibration levels from before and after the noise measurement agree to within 1.0 dB.
2.39 The Baseline Noise Levels and Action and Limit Levels for construction noise is presented in Table 2.11.
|
Time Period |
Noise Monitoring Station |
Baseline Noise Levels, dB (A) |
Action Level |
Limit Level ^ |
|
0700 – 1900 on normal weekdays |
M11 |
68.3 |
When one documented complaint is received. |
75 dB(A) |
|
M12 |
61.9 |
Note: ^ If works are to be carried out during restricted hours, the conditions stipulated in the Construction Noise Permit (CNP) issued by the Noise Control Authority have to be followed.
2.40 Impact noise monitoring results at the designed noise monitoring stations are summarized in Table 2.12.
|
Noise Monitoring Station |
April 2020 |
May 2020 |
June 2020 |
Action Level |
Limit Level ^ |
|||
|
Measured LAeq, 30-min, Average, dB(A) |
Measured LAeq, 30-min, Range, dB(A) |
Measured LAeq, 30-min, Average, dB(A) |
Measured LAeq, 30-min, Range, dB(A) |
Measured LAeq, 30-min, Average, dB(A) |
Measured LAeq, 30-min, Range, dB(A) |
|||
|
M11 |
69.1 |
65.9 – 71.4 |
68.3 |
67.6 – 69.5 |
67.8 |
66.6 – 68.5 |
When one documented complaint is received |
75 dB(A) |
|
M12 |
65.6 |
63.6 – 66.9 |
67.6 |
64.2 –70.1 |
67.6 |
64.6 – 70.2 |
||
Note: ^ If works are to be carried out during restricted hours, the conditions stipulated in the Construction Noise Permit (CNP) issued by the Noise Control Authority have to be followed.
2.41 There were no Action Level exceedance of noise monitoring and Limit Level exceedance of LAeq, 30min recorded during the reporting period.
2.42 Graphical presentation and detailed monitoring results of impact noise are shown in Appendix D.
2.43 The Event and Action Plan is provided in Appendix E.
2.44 Non-project related construction activities in the adjacent construction sites were observed during the reporting period and may affect the monitoring results.
2.45 The environmental impacts predictions were given in Agreement No. CE 35/2006(CE) Kai Tak Development Engineering Study cum Design and Construction of Advance Works - Investigation, Design and Construction - Kai Tak Development Environmental Impact Assessment Report, EIA Register Nos. AEIAR-130/2009 for Kai Tak Development (The EIA Report). The EM&A data was compared with the EIA predictions as summarized in Table 2.13 to Table 2.15.
|
Air Monitoring Station |
ASR No. in EIA report |
Predicted Cumulative Maximum 24-hr average TSP concentration |
Measured 24-hr average TSP in Reporting Month (April 2020) mg/m3 |
Measured 24-hr average TSP in Reporting Month (May 2020) mg/m3 |
Measured 24-hr average TSP in Reporting Month (June 2020) mg/m3 |
|
|
Scenario 1 (Mid 2009 to Mid 2013), µg/m3 |
Scenario 2 (Mid 2013 to Late 2016), µg/m3 |
|||||
|
AM3 - Sky Tower |
A40^ |
106 |
138 |
33 – 111 |
26 – 49 |
21 – 57 |
|
AM4(A) - The Hong Kong Society for the Blind’s Factory cum Sheltered Workshop |
A43^ |
123 |
195 |
40 – 106 |
34 – 53 |
27 – 45 |
|
AM7 – Hong Kong Children’s Hospital |
PA60 |
NA |
NA |
34 – 106 |
27 – 40 |
29 – 45 |
Note:
^ Prediction results are given in the Table 3.13 of the EIA report EIA Register Nos. AEIAR-130/2009 for Kai Tak Development.
|
Air Monitoring Station |
ASR No. in EIA report |
Predicted Cumulative Maximum 1-hour average TSP concentration |
Measured 1-hr average TSP in Reporting Month (April 2020) mg/m3 |
Measured 1-hr average TSP in Reporting Month (May 2020) mg/m3 |
Measured 1-hr average TSP in Reporting Month (June 2020) mg/m3 |
|
|
Scenario 1 (Mid 2009 to Mid 2013), µg/m3 |
Scenario 2 (Mid 2013 to Late 2016), µg/m3 |
|||||
|
AM3 - Sky Tower |
A40 |
217^ |
247^ |
31 – 72 |
28 – 55 |
22 – 57 |
|
AM4(A) - The Hong Kong Society for the Blind’s Factory cum Sheltered Workshop |
A43 |
283^ |
409^ |
33 - 79 |
24 – 58 |
24 – 60 |
|
AM7 – Hong Kong Children’s Hospital |
PA60 |
NA |
NA |
43 - 125 |
28 – 73 |
24 – 52 |
Note:
^ Prediction results are given in the Table 3.13 of the EIA report EIA Register Nos. AEIAR-130/2009 for Kai Tak Development.
|
Noise Monitoring Station |
NSR No. in EIA report |
Predicted Mitigated Construction Noise Levels during Normal Daytime Working Hour LAeq, 30min, dB(A) |
Measured Noise Level in Reporting Month (April 2020) LAeq, 30min, dB(A) |
Measured Noise Level in Reporting Month (May 2020) LAeq, 30min, dB(A) |
Measured Noise Level in Reporting Month (June 2020) LAeq, 30min, dB(A) |
|
M11 - The Hong Kong Society for the Blind’s Factory cum Sheltered Workshop |
N18 |
50 – 76* |
65.9 – 71.4 |
67.6 – 69.5 |
66.6 – 68.5 |
|
M12 - Hong Kong Children’s Hospital |
PN83, PN84, PN84A |
NA |
63.6 – 66.9 |
64.2 – 70.1 |
64.6 – 70.2 |
Note:
* Prediction results are given in the Table 3.20 of the EIA report EIA Register Nos. AEIAR-130/2009 for Kai Tak Development.
2.46 One 24-hour TSP monitoring results at AM3 on 28 April 2020 was recorded higher than the Scenario 1 (Mid 2009 to Mid 2013) prediction but lower than the Scenario 2 (Mid 2013 to Late 2016) in the EIA Report. In the afternoon of 28 April 2020, 3 yachts caught fire in Kwun Tong Typhoon Shelter off Hoi Bun Road was occurred. The fire may affect the 24-hour average TSP monitoring result (i.e. 111 mg/m3) at AM3 on 28 April 2020. For May 2020 and June 2020, 24-hour TSP monitoring results at AM3 were recorded lower than the prediction in the EIA Report.
2.47 24-hour TSP monitoring results at AM4(A) recorded in the reporting period were lower than the prediction in the EIA Report.
2.48 No prediction in the EIA Report for 24-hour TSP monitoring results at AM7.
2.49 1-hour TSP monitoring results at AM3, AM4(A) recorded in the reporting period were recorded lower than the prediction in the EIA Report.
2.50 No prediction in the EIA Report for 1-hour TSP monitoring results at AM7.
2.51 Noise monitoring results at M11 recorded in the reporting period were lower than the prediction in the EIA Report.
2.52 No prediction in the EIA Report for noise monitoring results at M12.
3.1 In accordance with EM&A Manuals (EIA Register Nos. AEIAR-130/2009 and AEIAR-170/2013), Landscape and Visual Monitoring shall be carried out during the construction phase of the Project. Regular impact monitoring will be conducted at least once per week.
3.2 Site inspections were carried out on a weekly basis to monitor the timely implementation of proper environmental management practices and mitigation measures in the Project site.
3.3 No non-compliance of the landscape and visual impact was recorded in the reporting period.
3.4 Should non-compliance of the landscape and visual impact occur, action in accordance with the action plan presented in Appendix E shall be performed.
4.1 The amount of wastes generated by the major site activities of the work contracts within the Project during the reporting period is shown in Appendix F.
4.2 The Contractor was registered as a chemical waste producer for the Project. The Contractor was reminded that chemical waste containers should be properly treated and stored temporarily in designated chemical waste storage area on site in accordance with the Code of Practice on the Packaging, Labelling and Storage of Chemical Wastes.
4.3 Mitigation measures recommended in the EIA Report were implemented by the Contractor where applicable and were considered effective in reduction the waste generation during the reporting period.
5.1 Site inspections were carried out on a weekly basis to monitor the timely implementation of proper environmental management practices and mitigation measures in the Project site.
5.2 All follow-up actions requested by ET and/or IEC during site inspections were undertaken by the Contractor and ET reviewed the effectiveness in the following weekly site inspection.
5.3 The summaries of site audits are attached in Table 5.1.
|
Inspection Date |
Key Observations |
Recommendations / Actions |
Close-out Date / Status |
|
2 Apr 2020 |
Observation: Dust suppression measures were not implemented on dusty road. |
Action Taken: Water spraying was implemented. |
Closed-out 9 Apr 2020 |
|
Observation: The stagnant water was observed. |
Action Taken: The stagnant water was cleared. |
Closed-out 9 Apr 2020 |
|
|
Observation: Accumulated waste was found. |
Action Taken: Accumulated waste was removed. |
Closed-out 9 Apr 2020 |
|
|
9 Apr 2020 |
Observation: Drip tray was not provided for the waste lubricant oil tank found under the mobile crane at north apron. |
Action Taken: The waste lubricant oil tank was removed at north apron. |
Closed-out 16 Apr 2020 |
|
Observation: Dust suppression measures were not implemented on dusty road. |
Action Taken: Water spraying system has been installed. |
Closed-out 16 Apr 2020 |
|
|
16 Apr 2020 |
Observation: The open stockpiles of construction materials on sites were not covered. |
Actions taken: The open stockpiles of construction materials on sites were covered. |
Closed-out 23 Apr 2020 |
|
23 Apr 2020 |
No |
NA |
NA |
|
29 Apr 2020 |
Observation: Dust suppression measures were not implemented on dusty road. |
Action Taken: Water spraying system has been installed. |
Closed-out 5 May 2020 |
|
7 May 2020 |
No |
NA |
NA |
|
14 May 2020 |
No |
NA |
NA |
|
21 May 2020 |
Observation: The stagnant water was observed. |
Action Taken: The stagnant water was cleared. |
Closed-out 28 May 2020 |
|
28 May 2020 |
Observation: The stagnant water in drip tray was found. |
Action Taken: The stagnant water in drip tray was cleared. |
Closed-out 4 June 2020 |
|
4 June 2020 |
Observation: The stagnant water should be cleared |
Action Taken: The stagnant water has been cleared. |
Closed-out 11 June 2020 |
|
11 June 2020 |
NA |
NA |
NA |
|
18 June 2020 |
Observation: The noise barrier for excavator mounted concrete breaker shall be replaced with new one for improving noise reduction effect. |
Action Taken: The noise barrier for excavator mounted concrete breaker was replaced. |
Closed-out 24 June 2020 |
|
24 June 2020 |
NA |
NA |
NA |
5.4 The Contractor has implemented environmental mitigation measures and requirement as stated in the EIA reports, the EPs and the EM&A Manuals. The implementation status of the mitigation measures during the reporting period is summarized in Appendix G.
6.1 1-hour TSP monitoring was conducted as scheduled in the reporting period. No Action/Limit Level exceedance was recorded.
6.2 24-hour TSP monitoring was conducted as scheduled in the reporting period. No Action/Limit Level exceedance was recorded.
6.3 Construction noise monitoring was conducted as scheduled in the reporting period. No Action/Limit Level exceedance was recorded.
6.4 Summary of the non-compliance in the reporting period for the Project is tabulated in Table 6.1.
|
Parameter |
Reporting Period |
No. of Exceedance |
Action Taken |
|
|
Action Level |
Limit Level |
|||
|
1-hr TSP |
April 2020 |
0 |
0 |
N/A |
|
May 2020 |
0 |
0 |
N/A |
|
|
June 2020 |
0 |
0 |
N/A |
|
|
24-hr TSP |
April 2020 |
0 |
0 |
N/A |
|
May 2020 |
0 |
0 |
N/A |
|
|
June 2020 |
0 |
0 |
N/A |
|
|
Construction noise |
April 2020 |
0 |
0 |
N/A |
|
May 2020 |
0 |
0 |
N/A |
|
|
June 2020 |
0 |
0 |
N/A |
|
6.5 No complaint was received in the reporting period. Summary of complaints in the reporting period is tabulated in Table 6.2.
|
Date of Notification from EPD |
Date of compliant |
Description of complaint |
Recommendations / Action take |
Close-out date / Status |
|
No complaint was received in the reporting period. |
NA |
NA |
NA |
NA |
6.6 Complaint log is shown in Appendix H.
6.7 No notification of summons and successful prosecutions was received in the reporting period. Summary of summons and successful prosecutions in the reporting period is tabulated in Table 6.3.
|
Date of receiving notification of summons or prosecutions |
Date of event |
Description of event |
Action take |
Close-out date / Status |
|
No notification of summons and successful prosecutions were received in the reporting period. |
NA |
NA |
NA |
NA |
6.8 The summaries of cumulative environmental complaint, warning, summon and notification of successful prosecution for the Project is presented in Appendix H.
7.1 Mitigation measures in the EM&A Manuals were implemented during the reporting period. The effectiveness and efficiency of the mitigation measures were reviewed during the weekly environmental site inspection and audit.
7.2 Environmental monitoring works (air quality and construction noise) were performed in the reporting period to monitor the environmental impacts from the Project site.
7.3 Based on the observations from the site inspection and reviewing the environmental monitoring results, it would be considered that the mitigation measures were effective and efficient in controlling the environmental impacts generated from the construction activities of the Project site.
7.4 During the weekly environmental site inspection and audit performed in the reporting period, the following recommendations were provided:
|
Inspection Date |
Recommendations / Reminders |
|
2 Apr 2020 |
Dust suppression measures should be implemented on dusty road. |
|
Stagnant water should be cleared. |
|
|
Accumulated waste should be removed. |
|
|
9 Apr 2020 |
Drip tray should be provided for the waste lubricant oil tank found under the mobile crane at north apron. |
|
Dust suppression measures should be implemented on dusty road. |
|
|
16 Apr 2020 |
The open stockpiles of construction materials on sites should be covered properly. |
|
23 Apr 2020 |
No |
|
29 Apr 2020 |
Dust suppression measures should be implemented on dusty road. |
|
7 May 2020 |
No |
|
14 May 2020 |
No |
|
21 May 2020 |
Stagnant water should be cleared. |
|
28 May 2020 |
Stagnant water in drip tray should be cleared. |
|
4 June 2020 |
Stagnant water should be cleared. |
|
11 June 2020 |
No |
|
18 June 2020 |
The noise barrier for excavator mounted concrete breaker should be replaced with new one for improving noise reduction effect. |
|
24 June 2020 |
No |
7.5 Environmental monitoring works were performed in the reporting period and all monitoring results were checked and reviewed.
7.6 1-hour TSP monitoring was conducted as scheduled in the reporting period. No Action/Limit Level exceedance was recorded.
7.7 24-hour TSP monitoring was conducted as scheduled in the reporting period. No Action/Limit Level exceedance was recorded.
7.8 Construction noise monitoring was conducted as scheduled in the reporting period. No Action/Limit Level exceedance was recorded.
7.9 No complaint was received in the reporting period.
7.10 No notification of summons and successful prosecutions was received in the reporting period.
Figure


































































































